成人高考专升本《高数二》应试模拟题(1)
1、 
A.
B.
C.
D.
2、 ![]()
A.![]()
B.![]()
C.![]()
D.![]()
3、 
A.2dx
B.1/2dx
C.dx
D.0
4、 
A.
B.
C.
D.
5、 ![]()
A.?(3)- ?(1)
B.?(9)- ?(3)
C.1[f(3)-f(1)
D.1/3[?(9)- ?(3)]
6、
A.x=-2
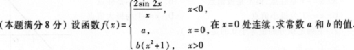
B.x=-1
C.x=1
D.x=0
7、函数y=?(x)在点x0处的左、右极限存在且相等是函数在该点极限存在的( ).
A.必要条件
B.充分条件
C.充分必要条件
D.既非充分条件,也非必要条件
8、 ![]()
A.![]()
B.![]()
C.![]()
D.![]()
9、 
A.
B.
C.
D.
10、设?ˊ(x)=COS x+x,则?(x)等于( ).
A.
B.
C. sinx+x2+C
D. sinx+2x2+C
11、 
12、 ![]()
13、
14、 
15、 若?ˊ(x)=sin x+x+1,则?(x)__________.
16、 ![]()
17、 设y=arCCOSx,则yˊ__________ .
18、
19、 已知?ˊ(sinx)=cos2x,则?(x)__________.
20、
21、 ![]()
22、
23、 (本题满分8分)盒中装着标有数字1,2,3,4的乒乓球各2个,从盒中任取3个球,求取出的3个球上最大的数字是4的概率.
24、 
25、 (本题满分10分)在抛物线y2=4x与x=2所围成的平面区域内作一矩形,其一边在x=2 上,另外两个顶点在抛物线上,求此矩形面积最大时的长和宽,最大面积是多少?
26、 ![]()
27、 (本题满分10分)设z=z(x,y)由方程ez-x2+y2+x+z=0确定,求出.
28、
| 上一条: 成人高考专升本《高数二》应试模拟题(2) | |
| 下一条: 成人高考专升本高等数学(一)应试模拟题(5) | |
