成人高考专升本高等数学(一)应试模拟题(5)
一、选择题:共10小题,每小题4分,共40分.在每小题给出的四个选项中,只有一项是符合题目要求的.
1、
A.(-5,5)
B.(-∞,0)
C.(0,+∞)
D.(-∞,+∞)
2、
A.
B.
C.
D.
3、
A.0
B.1
C.2
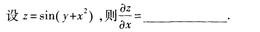
D.不存在
4、
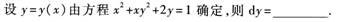
A.
B.
C.
D.
5、

A.

B.

C.

D.

6、

A.

B.

C.

D.

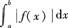
7、设f(x)为区间[a,b]上的连续函数,则曲线y=f(x)与直线x=a,x=b,y=0所围成的封闭图形的面积为( ).
A.

B.

C.

D.不能确定
8、

A.

B.

C.

D.

9、设y=x-5,则dy=( ).
A.-5dx
B.-dx
C.dx
D.(x-1)dx
10、

A.3
B.5
C.1
D.

二、填空题:共10小题,每小题4分,共40分.
11、
12、
13、

14、

15、设sinx为f(x)的原函数,则f(x)=________.
16、

17、

18、
19、
20、
21、


22、

23、 (本题满分8分)

24、

25、(本题满分8分)

26、


27、 (本题满分10分)设F(x)为f(x)的-个原函数,且f(x)=xlnx,求F(x).
28、 (本题满分8分)设y=x+arctanx,求y′.
上一条: 成人高考专升本《高数二》应试模拟题(1) | |
下一条: 成人高考专升本高等数学(一)应试模拟题(4) |