成人高考专升本高等数学(一)应试模拟题(4)
一、选择题:共10小题,每小题4分,共40分.在每小题给出的四个选项中,只有一项是符合题目要求的.
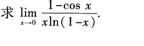
1、
A.![]()
B.0
C.![]()
D.1
2、
( ).
A.单调增加且为凹
B.单调增加且为凸
C.单调减少且为凹
D.单调减少且为凸
3、 
A. 
B. 
C. 
D.
4、
下列关系正确的是( ).
A.![]()
B.![]()
C.![]()
D.
5、
A.Ax
B.![]()
C.![]()
D.![]()
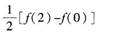
6、![]()
A.f(2)-f(0)
B.![]()
C.![]()
D.f(1)-f(0)
7、 
A.sin(2x-1)+C
B. 
C.-sin(2x-1)+C
D. 
8、平面π1:x-2y+3z+1=0,π2:2x+y+2=0的位置关系为( ).
A.垂直
B.斜交
C.平行
D.重合
9、
A.0
B.![]()
C.![]()
D.∞
10、
A.![]()
B.x2
C.2x
D.2
二、填空题:共10小题,每小题4分,共40分.
11、![]()
12、 ![]()
13、
14、 ![]()
15、

16、
17、
18、

19、
20、
三、解答题:共8小题,共70分.解答应写出推理、演算步骤.
21、 (本题满分8分)

22、
23、(本题满分8分)![]()
24、(本题满分8分)设y=x+sinx,求y′.
25、
![]()
26、
27、
28、 (本题满分8分)
| 上一条: 成人高考专升本高等数学(一)应试模拟题(5) | |
| 下一条: 成人高考专升本高等数学(一)应试模拟题(3) | |
