成人高考专升本高等数学(一)应试模拟题(3)
一、选择题:共10小题,每小题4分,共40分.在每小题给出的四个选项中,只有一项是符合题目要求的.
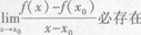
1、
![]()
A.f(x)-f(a)
B.f(a)-f(x)
C.f(x)
D.f(a)
2、当x→0时,3x是x的( ).
A.高阶无穷小量
B.等价无穷小量
C.同阶无穷小量,但不是等价无穷小量
D.低阶无穷小量
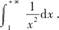
3、 ![]()
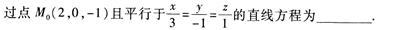
A.必定收敛
B.必定发散
C.收敛性与α有关
D.上述三个结论都不正确
4、
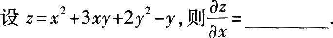
A.-sinx
B.cos x
C.![]()
D.
5、设f(x)在点x0处连续,则下列命题中正确的是( ).
A.f(x)在点x0必定可导
B.f(x)在点x0必定不可导
C.![]()
D.![]()
6、 ![]()
A.椭球面
B.圆锥面
C.旋转抛物面
D.柱面
7、 
A.sin(x-1)+C
B.-sin(x-1)+C
C.sinx+C&nbsbr;
D.-sinx+C
8、
A.1
B.
C.m
D.m2
9、 
A.-cosx
B.-ycosx
C.cosx
D.ycosx
10、
设函数f(x)在点x0。处连续,则下列结论正确的是( ).
A.![]()
B.![]()
C.![]()
D.
二、填空题:共10小题,每小题4分,共40分.
11、![]()
12、曲线y=x3—6x的拐点坐标为 ________.
13、 ![]()
14、![]()
15、
16、
17、![]()
18、
19、 ![]()
20、
三、解答题:共8小题,共70分.解答应写出推理、演算步骤.
21、
22、 (本题满分8分)

23、 (本题满分8分)计算
24、 (本题满分8分)![]()
25、![]()
(1)切点A的坐标(a,a2).
(2)过切点A的切线方程。
26、![]()
27、![]()
![]()
28、
| 上一条: 成人高考专升本高等数学(一)应试模拟题(4) | |
| 下一条: 成人高考专升本高等数学(一)应试模拟题(2) | |
