成人高考专升本高等数学(一)应试模拟题(2)
一、选择题:共10小题,每小题4分,共40分.在每小题给出的四个选项中,只有一项是符合题目要求的.
1、
A.arcsin b-arcsin a
B.![]()
C.arcsin x
D.0
2、
A.绝对收敛
B.条件收敛
C.发散
D.收敛性与a有关
3、
设f′(x)=1+x,则f(x)等于( ).
A.1
B.![]()
C.![]()
D.![]()
4、 ![]()
A.1
B.0
C.-1
D.-2
5、设函数y=f(x)的导函数,满足f′(-1)=0,当x<-1时,f′(x)<0;当x>-1时,f′(x)>0.则下列结论肯定正确的是( ).
A.x=-1是驻点,但不是极值点
B.x=-1不是驻点
C.x=-1为极小值点
D.x=-1为极大值点
6、
A.条件收敛
B.绝对收敛
C.收敛性与k有关
D.发散
7、 
A. 
B. 
C. 
D. 
8、设y=sin 2x,则y ′等于( ).
A.-cos 2x
B.cos 2x
C.-2cos 2x
D.2cos 2x
9、函数y=sinx在区间[0,π]上满足罗尔定理的ξ等于( ).
A.0
B.![]()
C.![]()
D.π
10、 ![]()
A.![]()
B.![]()
C.
D.
二、填空题:共10小题,每小题4分,共40分.
11、
12、 
13、![]()
14、
15、 
16、
17、
18、设y=sin(2+x),则dy= .
19、 ![]()
20、
21、
22、 (本题满分10分)

23、 (本题满分10分)
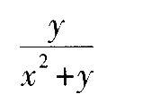
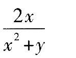
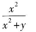
24、 (本题满分8分)设y=y(x)由方程x2+2y3+2xy+3y-x=1确定,求y’
25、
26、
27、 (本题满分10分)求由曲线y=x,y=lnx及y=0,y=1围成的平面图形的面积S及此平面图形绕y轴旋转一周所得旋转体体积.
28、
| 上一条: 成人高考专升本高等数学(一)应试模拟题(3) | |
| 下一条: 成人高考专升本高等数学(一)应试模拟题(1) | |
