成人高考专升本《高数二》应试模拟题(3)
1、设函数?(x-1)=x2+e-x,则?ˊ(x)等于( ).
A.2x-ex
B.
C.
D.
2、
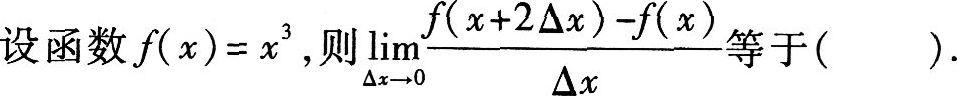
A.0
B.2x3
C.6x2
D.3x2
3、
A.10/3
B.5/3
C.1/3
D.2/15
4、
A.-2ycos(x+y2)
B.-2ysin(x+y2)
C.2ycos(x+y2)
D.2ysin(x+y2)
5、设?(x)在x0及其邻域内可导,且当x0,当x>x0时?ˊ(x)<0,则必?ˊ(x0)( ).
A.小于0
B.等于0
C.大于0
D.不确定
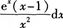
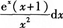
6、
A.
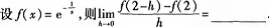
B.
C.exdx
D.exIn xdx
7、
A.
B.
C.
D.
8、
A.
B.
C.
D.
9、
A.y4cos(xy2)
B.-y4cos(xy2)
C.y4sin(xy2)
D.-y4sin(xy2)
10、设?(x)=In(1+x)+e2x, ?(x)在x=0处的切线方程是( ).
A.3x-y+1=0
B.3x+y-1=0
C.3x+y+1=0
A.2x-ex
B.
C.
D.
2、
A.0
B.2x3
C.6x2
D.3x2
3、

A.10/3
B.5/3
C.1/3
D.2/15
4、
A.-2ycos(x+y2)
B.-2ysin(x+y2)
C.2ycos(x+y2)
D.2ysin(x+y2)
5、设?(x)在x0及其邻域内可导,且当x
A.小于0
B.等于0
C.大于0
D.不确定
6、
A.
B.
C.exdx
D.exIn xdx
7、
A.
B.
C.
D.
8、
A.
B.
C.
D.
9、
A.y4cos(xy2)
B.-y4cos(xy2)
C.y4sin(xy2)
D.-y4sin(xy2)
10、设?(x)=In(1+x)+e2x, ?(x)在x=0处的切线方程是( ).
A.3x-y+1=0
B.3x+y-1=0
C.3x+y+1=0

12、 设函数y=arcsin x,则dy=__________.
13、 
14、
15、 
16、 .
17、
18、 
19、
20、
21、 ![]()
22、 设事件A与B相互独立,且P(A)=0.6,P(B)=0.7,求P(A+B).
23、


24、![]()
25、(本题满分8分)设函数Y=cos(Inx),求y′.
26、
![]()
27、 ![]()
28、
| 上一条: 成人高考专升本《高数二》应试模拟题(4) | |
| 下一条: 成人高考专升本《高数二》应试模拟题(2) | |
